22q11缺失综合征患者在青春期后期的阳性精神疾病症状与海马体积的不同发育轨迹有关


   
染色体22q11缺失是最常见的微小缺失综合征。发病率为1/20001/4000。它可引起一系列的临床障碍。最新的研究表明,染色体22q11缺失患者有精神行为异常者高达60%。从目前已有的研究来看,该疾病的表型异质性高,引起的临床症状极为复杂。同时,精神类疾病(如精神分裂症)的病理学研究仍旧面临诸多困难,由于病因复杂,难以找到稳定的靶向治疗标的,同时该类疾病在发展过程中其对大脑结构或功能的影响或者说该类患病病人的大脑是如何发生改变的,尤其是在已有研究中被大量关注的海马区域的变化是如何发生的,我们目前还不清楚。

    22q11缺失综合征在精神分裂症患病的高发风险方面来看,该类病人的精神疾病发展过程给我们观察海马体积在精神病症状发展中的改变提供了一个独特的窗口。来自日内瓦大学医学院的研究人员在《Molecular Psychiatry》杂志发文,对22q11缺失综合征患者在青春期后期的阳性精神疾病症状与海马体积的不同发育轨迹之间的关系进行了探究。

    研究者指出,海马体积过小是一种常见的精神病症状。然而,纵向的海马发育研究,以及对其与精神病症状之间关系的研究比较缺乏22q11.2 缺失综合征(22q11DS)在精神分裂症高风险个体的前瞻性研究中已经被证明是一个显著的模型。

    研究人员对14022q11DS患者(其中53人患有中度至重度精神病症状)和135635岁的正常人进行重复的MRI数据采集,其中每个被试最多采集5个时间点。使用 FreeSurfer 6FIRST-FSL软件进行海马亚区分析。并对海马和亚区体积进行组间比较。

   与对照组相比,研究发现除 CA2/3以外,22q11DS患者的所有亚区体积均显著降低。在患者的海马发育过程中没有发现异常轨迹。在表现出精神病症状的 22q11DS 患者和没有精神病的患者比较时,发现在青春期晚期由CA1到其他亚区的体积减小。

   本次研究结果还表明,22q11DS患者的海马体积始终比较小。此外,还证明了患有22q11DS并患有精神疾病症状的患者,在青少年时期海马体积将进一步减少。尽管精神疾病症状患者的CA2/3区域会受到影响, 22q11DS 患者(无精神疾病)的CA2/3相对于HC组是唯一没有减少的区域;这表明它的体积减小只与阳性精神疾病症状的出现有关。 

    研究背景:

   海马体在学习、记忆检索和想象中起着至关重要的作用。除了与记忆有关,核磁共振成像(MRI)和尸检研究表明,精神分裂症患者的特征是海马较小。事实上,包括首发精神病患者(FEP)和精神疾病高/超高风险(UHR) 被试在内的所有的精神疾病患者中都发现了较低的海马体积。然而,有研究表明,精神疾病高风险患者的整个海马体积显著减少并没有明确的证据。

    到目前为止,许多研究报道了不同的海马亚区(CA1CA2/3CA4、齿状回和海马下托)对临床高危精神疾病患者的影响。一些研究目的在于解释精神疾病与海马体积减少之间的关系,对海马的功能解剖给予极大关注。事实上,每个海马亚区都有不同的锥体神经元密度、不同的突触结构和不同的皮质区域连接模式。值得注意的是,齿状回、CA3CA1是负责编码情景记忆的一部分,而海马下托延长了这种信息传递到新皮层的持久性。尽管对于哪个亚区是造成精神疾病演变的核心还没有达成共识,但CA3CA1很可能参与其中。

    有一种理论认为,CA3区过度活动对精神疾病症状的发生起着重要作用。另一方面,CA1UHRFEP患者最早受到影响的脑区。一项研究证明,UHR病人左侧CA1脑区的脑血容量(CBV)增加预示着其萎缩和精神疾病的发展。同样,在氯胺酮诱导的精神分裂症小鼠模型中,CA1表现出最高的CBV,同时细胞外液里面的谷氨酸浓度增加。

    因此,海马活动的增强和随后的兴奋性中毒可能在体积萎缩过程中起作用。最后,另一个研究推测CA1CA3在精神疾病的发展中可能扮演不同的角色。总的来说,在临床有精神疾病风险的患者中,特定亚区的体积在横向和纵向上均有下降。如精神疾病患者的兄弟姐妹等有遗传风险的被试也表现出海马异常,并且海马体积被证明是高度可遗传的。因此,海马体积较低被认为是一种假定的精神疾病表型。

    尽管已有广泛的对精神疾病的临床高危期相关研究,但仍然缺乏对其前期的研究。22q11.2缺失综合症(22q11DS)是由于22号染色体长臂大约1.5-3Mb碱基片段缺失导致的一种神经发育障碍;被认为极具遗传风险的一种精神疾病。但是,目前对22q11DS患者在发育过程中海马体积与健康被试的差异在哪里(发生在什么时候)还尚未清楚。Eg更具体的说,海马体积已减少的患者,是在儿童时期就已缩小还是在青少年大脑成熟的后期才发生缩小。

   基于以上背景,作者确立了本次研究的目的:

    1)纵向研究22q11DS患者在较大的时间跨度内的海马发育轨迹。

   2)分析海马发育与阳性精神疾病症状之间的关系。 

   研究方法选择:

    为了研究在基线时海马体更小或体积进一步减小是否是22q11DS患者出现精神病症状所特有的现象而选择了纵向研究方法。即:使用 FreeSurferv6.0 描绘海马亚区的自动分割;FIRST-FSL对海马亚区进行补充分析,得到沿着前后轴的海马形状信息。

    根据前人的研究,作者假设了通过这些技术可以检测到 22q11DS 患者和健康对照组之间存在差异。根据 UHR 患者报告中的发现,进一步提出 22q11DS 患者中度到重度精神疾病症状时在关键亚区(如 CA1  CA3)的体积会减少。目的在于:了解 22q11DS患者海马发育的时间,其意义在于可以在高危人群中辅助预测精神疾病症状的出现。 

       具体研究

   1)被试选择

    本研究招募了 140 名被诊断出 22q11DS 的患者和135个健康对照者(HC)。所有被试的年龄在 6~35 岁之间,并且两个组别的年龄、性别匹配。每个被试的时间点在 1 个到 5 个不等(详见表1),以及每个被试平均被评估了 2.14 个时间点。表 2 列出了根据 DSM-IV 标准和 22q11DS患者当前使用精神药物情况的第一轴向障碍的存在情况。

表一所有被试的采集信息及人口学资料和统计

表二 22q11DS患者的临床信息

2)精神疾病评估

22q11ds 患者较一般人群更容易出现阈下精神疾病症状;因此,他们是探索潜在神经生物学的一个引人注目的模型。

通过对精神疾病风险综合征结构性访谈(定式访谈,SIPS),在每个时间点评估中度至重度精神病症状的存在。22q11ds 患者被划分为有精神疾病阳性症状的患者,其对应的评分等级至少为 3或更高。这一强度阈值已被证明是最敏感的检测前驱期风险综合征。精神病的阴性症状(至少一个阴性 SIPS 分量表中得分为 3 分或更高)被单独考虑,以便澄清阳性和阴性症状对海马发育的相对贡献。

 33 例患者年龄小无法完成SIPS,使得病人组减少到 107 例。其中 72例患者出现阴性症状,52 例患者出现阳性症状;并且13 例患者被诊断为精神分裂症和 2 例患者诊断为分裂情感障碍。具体来说,15 名患者在一个或多个时间点的一个或多个阳性分量表得分为 6 。本研究中,将所有有患有中度至重度阳性精神疾病症状的患者称为22q11ds psy+ 患者。

3MRI 采集

由于时间跨度较大,扫描采用了三种不同的扫描仪:  151 次扫描使用 Philips Intera 1.5T 扫描仪,后 294 次扫描使用 Siemens Trio 3T 扫描仪,剩余 138 次扫描使用 Siemens Prisma 3T 扫描仪。并且,在所有的统计分析中将扫描仪模型作为协变量。T1 加权图像是在日内瓦的生物医学成像中心(CIBM)用常用的3D结构像成像序列获得的。

1.5 T 扫描仪参数为:TR = 35 ms TE = 6 ms,翻转角= 45°,矩阵大小= 256×192FOV= 24 cm2,层厚= 1.5 mm, 层数为 124 

 3T 扫描仪的参数为: TR = 2500 msTE = 3 ms、翻转角= 8°、采集矩阵大小= 256×256FOV= 23.5 cm、层厚= 3.2 mm、层数为192

4)具体方法与步骤

 T1 加权图像使用 freesurfer 5.3.0 版本进行全自动图像处理,包括颅骨剥离、归一化、皮层表面重建和皮层下脑区分割。

海马分割:使用 freesurfer 6.0 版本(该版本较之前版本有自动分割方面的更新)的自动分割技术进行海马区分割。该版本与以前的版本相比,提供了更高的分辨率和更多的结构分割,包括海马区域(CA1CA2/3CA4及其分子层(ML))、齿状回颗粒细胞层(GC-DG)、海马尾部和海马裂。

基于研究目的,作者分析了整个海马体积以及CA1CA2/3CA4GC-DGML、海马尾部和下托7个相关亚区。图 1 是一例患者和健康对照者(HC)的 freesurfer 分割示意图。

            一例患者和健康对照者(HC)的FreeSurfer 分割示意图
    由于使用 FreeSurfer v5.3 对数据进行预处理,使用 v6.0 对海马亚区进行分割,所以通过组内相关系数分析验证了 FreeSurfer 不同版本间的使用可靠性(见附录表5)

附录表 5 FreeSurfer 不同版本间的使用可靠性验证

    为了解 22q11DS 患者与 HC 患者之间的差异是否沿前后轴有特定的分布,首先使用 FSL 软件进行了形态分析。该技术基于强度分布和顶点分析建模,在共同的三维空间为每个被试提供一个海马体的表面网格。然后,为 22q11DS 患者和HC组所有海马网络创建一个平均掩模(mask)

    对所有图像都进行了视觉图像质量检查,排除掉分割质量差的。具体来说就是,仔细检查每个被试的海马掩模(mask)是否对齐,海马体是否有缺失,掩膜的偏移是否超出海马边界。然后,根据 ENIGMA 协议提供的质量控制程序证实没有海马亚区和海马外区的标记错误。

    最终,FreeSurfer 分割过程中剔除了 2  22q11DS 患者的扫描;FIRST-FSL 分析排除了 5次扫描(3名患者和2名对照组) 

       5)统计分析

   考虑到参与者的时间点数量是可变的,以及时间间隔和年龄分布是不恒定的(补充图supplementary fig.1),使用回归混合模型分析 FreeSurfer 的纵向数据。用 MATLAB R2017anlmefit 函数,将人群参数(年龄和诊断)设为固定效应,将被试因素建模为随机效应。由于每组数据都需要满足正态分布,因此统计分析方法对其进行了评估。总颅内体积、性别、扫描模型和抗精神病药物作为协变量。

补充材料图被试的采集时间间隔和年龄分布

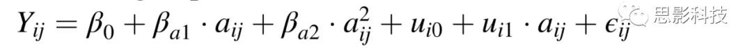
    考虑到被试内和被试间的影响,通过将随机斜率模型(包括常数模型、线性模型、二次模型或三次模型,每个模型对应于年龄和海马体积之间的不同关系)拟合到数据中估计发育轨迹。然后,利用贝叶斯信息准则选择最合适的模型阶数,得到完整的二次模型如下:

    其中,是海马体积; ij是被试和扫描次数;β是拟合参数;g是组协变量;a是协变量年龄;是正态分布随机效应ε是正态分布误差项。采用全模型与下列简化模型的对数似然比检验来估算组间截距和斜率差异的显著性:简化的组效应模型:

简化的斜率模型:

    因此,得到了各组海马体积发育轨迹的截距(组效应)与斜率(组×年龄交互效应)的比较。最后,利用错误发现率校正(FDR)对结果进行多次检验。在适当的地方(即,二次模型中),每个发育轨迹拐点对应的年龄由该点的导数与x轴的交点估算。

    使用 MATLAB R2017a  fitlme 函数进一步测试 22q11DS 患者中每个阳性子量表(P1:异常思维内容/妄想性想法,P2:怀疑/迫害性想法,P3:浮夸性想法,P4:知觉异常/幻觉,P5:沟通紊乱)SIPS 测量的精神疾病症状程度与海马体积是否相关。将年龄、年龄平方、性别、ICV、抗精神病药物和扫描类型作为协变量进行控制,并采用FDR 进行多重比较矫正。

    选择每个被试的第一个时间点作为 FSL 的横向分析数据。统计图及其分析使用 FIRST-FSL 工具,相应分析流程可在 FSL 官网查询,或者请点击,直接来学习:第八届磁共振脑影像结构班使用“ randomize ”函数,采取基于团块水平的多重比较矫正,最终得到两组间的显著差异;其中颅内总容积、性别、扫描模型、年龄和抗精神病药物均作为协变量。其输出的 3D mask是用来描述受影响区域向内或向外发生了位移,位移方向取决于患者的海马是比对照组小还是大。

 6)研究结果

a22q11DS 患者海马体积普遍缩小

FreeSurfer  FIRST-FSL 分割得到的数据表明,22q11DS 患者的双侧海马体积比 HC 的更小。混合模型分析显示,在发育轨迹没有差异时,整个左右海马体积组间差异较大( p < 0.001)(图)。除CA2/3(表3)外,所有亚区的双侧均检测到较小的体积(p < 0.001)所有轨迹都是二阶模型,这意味着年龄和海马体积之间的关系是二次的(图3)。

通过 FIRST-FSL 分析,证实了 22q11DS 患者海马的头部(前)、身体和尾部弥散性向内移位特别是,在不受解剖边界的影响的情况下,左右海马的内侧和外侧表面受到的影响更为一致,而上下海马表面沿中线显示出一些不受影响的区域(图4)。

222q11DSHC患者左右海马体积组间差异

3 22q11DSHC患者海马亚区发育轨迹

4 22q11DSHC患者左右海马的内侧和外侧表面

b22q11DS psy+患者特定海马亚区发育轨迹发生改变

为了得到海马体积的发育与精神病症状之间的关系,将中度至重度阳性或阴性症状的患者与症状评分较低的患者进行了比较。

3 22q11DSHC()22q11DS患者与无阳性()、阴性()精神病症状患者纵向体积比较的混合模型分析结果

   其结论包括:至少 1  SIPS 阴性症状评分 ≥3 的被试的海马体积与无阴性症状组无差异(表3)。

    与无阳性症状的患者相比,22q11DS psy+患者海马体积减小(右侧p = 0.002,左侧p = 0.0035)(图5)。

    此外,22q11DS psy+患者双侧 CA2/3CA4GC-DG、左侧 CA1、下托等不同亚区体积较低(表3)。右侧 CA1 接近显著性(p = 0.053)22q11DS psy+患者的右侧海马的斜率有差异,其发育轨迹显示其海马体积从 18.5 岁开始下降(补充图 supplementary fig.4)。右侧亚区的发育轨迹与青春期晚期相似,其拐点分别为: CA1: 16.5岁、DG: 17.3岁、CA4: 18岁、CA2/3: 18.8(补充图2)。

5 22q11DS psy+患者与无阳性症状的患者的海马体积及亚区比较

补充图4 22q11DS psy+患者的海马发育轨迹



补充图2  22q11DS psy+患者的海马体积下降的发展拐点

 

c)伴随幻觉的22q11DS 患者有异常的发展轨迹该分析的目的是评估海马体积减少与 SCID-I  DICA (详见附录表2测量出的幻觉之间是否有特定的联系

补充图出现幻觉的22q11DS 患者的整个海马体和除左尾外的所有亚区的双边体积

    同没有出现幻觉的患者相比,出现幻觉的 22q11DS 患者的整个海马体和除左尾外的所有亚区的双边体积都减少了。 CA1GC-DG 外,伴随有幻觉的22q11DS 患者与 SIPS 评分组患者之间的交互作用效果在所有右侧亚区有显著差异(补充图 supplementary fig.3)
  
d)阳性症状程度与海马体积无关

   研究结果没有发现任何一个阳性 SIPS 分量表与海马亚区体积之间有显著的相关性(补充表,supplementary table.3)。只有 P5 分量表(沟通紊乱)的相关性接近显著性(左海马p = 0.06, R = - 0.247;右海马p = 0.06, R = - 0.217)。补充表 3 阳性SIPS 分量表与海马亚区体积相关分析结果

   e22q11DS患者的海马体较小

   接受心脏手术的 22q11DS 重型冠心病患者( 22q11DS CHD+ )的海马体积小于没有心脏畸形患者。22q11DS CHD+ 患者在除 CA2/3 外的所有亚区均有出现双侧下降。除右侧 CA2/3 外,没有交互作用。左侧 CA2/3 区域没有发现组效应或交互效应。
  
讨论

   1)海马体积较小是22q11DS 患者的解剖学特征

    研究表明,22q11DS 患者的整个海马体积小于 HC 组;以及非综合征性 UHR(超高风险) 患者和精神分裂症患者的健康亲属的海马体积较低。在研究中,除 CA2/3 外所有亚区的体积都一致较小。为什么 CA2/3 是唯一没有受到影响的亚区的原因仍然不清楚。由于后脑动脉( PCA )是海马血管形成的主要来源,所以轻微的血管异常可解释为什么 22q11DS 患者的海马体积比 HC 组小。

    此外,研究还发现 22q11DS 患者从 6 岁起海马体积就一直较低,这可能是该综合征的解剖学特征。冠心病患者的研究结果提供了探索性的证据,说明心血管异常可能在皮质形成过程中决定了海马体积更小的作用。 

       222q11DS psy+ 患者在特定亚区海马体积进一步减小

   本研究得到阳性(非阴性)精神病症状与22q11DS患者海马体积较小有关。多项研究表明与海马体积减少与阳性症状有关,而与阴性症状相矛盾。推测海马体积与阴性症状之间缺乏联系,可能是由于缺乏涉及海马的共同病理生理机制,或由于样本特有的混杂因素,如精神疾病的高发病率。

    值得注意的是, HC 相比,CA2/3 是唯一一个在 22q11DS 患者组中没有差异的海马亚区,但在22q11DS患者和阳性精神病症状患者中,CA2/3 发生了递进性萎缩。因此,CA2/3 在后续变化可能与阳性症状的出现直接相关。精神病阳性症状与海马区(尤其是 CA3 区)之间的关系已被证实是连接记忆和幻觉的理论框架的核心。然而,了解海马功能障碍和精神病之间关系的探索尚未完成,因为仍然不知道它发生在发育的哪个阶段。本研究结果显示,在22q11DS psy+ 患者中,几个右侧海马亚区从青春期晚期开始随时间萎缩。此外,有多项研究表明在青春期后期的 22q11DS 患者的阈下阳性症状发生率最高,这表明海马体积减少发生在对精神病症状出现敏感的时期。

   总的来说,22q11DS psy+ 患者最初由 CA1 区开始萎缩,随后蔓延到DGCA4  CA2/3 亚区。值得注意的是,在精神分裂症的早期阶段也有类似的趋势,海马体积随着时间推移从 CA1 扩展到 CA2/3  DG 减少。本次研究还明确地将 CA3 体积损失与精神病症状的存在联系起来。 

       3)海马体积较低与阳性症状的出现有关,而与阳性症状的程度无关

   本次研究研究了阳性症状的严重程度与每个亚区海马体积减小程度是否相关。虽然在精神分裂症患者的独立样本中有这种相关性的证据,但本次研究 22q11DS 患者组中没有发现任何显著的结果。此外,还证明了疾病恶化和海马体积减少之间确实存在联系。这种差异可解释如下阳性精神病症状具有内在的波动性,并不一定与疾病的总体进展相平行,尤其是在 22q11DS 患者中。 

       4)海马体积是精神疾病的易感因素:假说和观点

   考虑到与 HC 组相比,整个 22q11DS 组预期在精神病中起作用的大部分脑区(egCA1DGCA4和下托等)的体积已经较低。因此,不能忽视 22q11DS 本身就是精神病发生的因素的事实。此外,从6岁开始,22q11DS psy+ 患者的左侧海马较小。考虑到多数年龄在 6 10 岁之间的患者伴随有幻觉(而不是 SIPS 评分);这表明在儿童时期,幻觉患者的右侧海马也更小。结合对这些脑区在青春期后期进一步减小的观察,可以认为基线时海马体积更小可能是出现阳性精神病症状和海马萎缩的一个因素

    从对照组到使用 MRS 治疗的精神疾病 22q11DS 患者,谷氨酸水平连续升高;这表明随着精神疾病恶化,发病前的 22q11DS 患者可能存在兴奋/抑制失衡。可以推测,在基线时海马体积的减少可能导致涉及增强谷氨酸能传播的代偿机制。然后,已知的干扰海马生理的环境因素(如压力和神经炎症)可能在一些患者中起第二次作用,使得需求异常增加,从而导致精神病症状和额外的萎缩。22q11DS 患者的海马形态与相关亚区兴奋/抑制失衡的关系还有待进一步研究。

     研究总结:

       总体来说,该研究在 22q11DS 患者的大样本中发现,与 HC 相比其海马体积减小,这可能是该综合征的解剖学特征。22q11DS psy+ 患者的右海马体积从青春期后期开始逐渐减小。海马亚区CA1 是第一个受到影响的区域,CA3 是最后一个受影响的区域,其萎缩与阳性症状相关,但是与阳性程度无关。

原文:

Positive psychotic symptoms are associated with divergent developmental trajectories of hippocampal volume during late adolescence in patients with 22q11DS

V Mancini, C Sandini, MC Padula, D Zöller - Molecular , 2019 - nature.com


微信扫码或者长按选择识别关注思影

如对思影课程感兴趣也可微信号siyingyxf或18983979082咨询。觉得有帮助,给个转发,或许身边的朋友正需要。请直接点击下文文字即可浏览思影科技其他课程及数据处理服务,欢迎报名与咨询,目前全部课程均开放报名,报名后我们会第一时间联系,并保留名额。

第二十八届磁共振脑影像基础班(重庆,7.6-11)


第十四届磁共振脑网络数据处理班(重庆,7.26-31)


第三十届磁共振脑影像基础班(南京,7.31-8.5)


第十六届磁共振脑网络数据处理班(南京,8.12-17)


第十届脑影像机器学习班(南京,6.30-7.5)


第十一届脑影像机器学习班(南京,8.25-30)


第十二届磁共振弥散张量成像数据处理班(南京,6.18-23)


第九届磁共振脑影像结构班(南京,8.6-11)


第七届磁共振ASL(动脉自旋标记)数据处理班(预报名)


第六届任务态fMRI专题班(预报名,南京)


弥散磁共振成像数据处理提高班(预报名)

小动物磁共振脑影像数据处理班(预报名,南京)

第七届脑电数据处理入门班(重庆,8.2-7)


第二十届脑电数据处理中级班(重庆,8.9-14)


第八届脑电数据处理入门班(南京,7.7-12)


第十九届脑电数据处理中级班(南京,7.13-18)

第二十一届脑电数据处理中级班(南京,9.7-12)

第七届眼动数据处理班(南京,7.26-30)

脑电信号数据处理提高班(预报名)

脑磁图(MEG)数据处理学习班(预报名)


近红外脑功能数据处理班(预报名)


数据处理业务介绍:

思影科技功能磁共振(fMRI)数据处理业务

思影科技弥散加权成像(DWI/dMRI)数据处理

思影科技脑结构磁共振成像数据处理业务(T1)


思影科技啮齿类动物(大小鼠)神经影像数据处理业务

思影数据处理业务三:ASL数据处理

思影科技脑影像机器学习数据处理业务介绍


思影数据处理业务四:EEG/ERP数据处理

思影科技脑电机器学习数据处理业务

思影数据处理服务五:近红外脑功能数据处理

思影数据处理服务六:脑磁图(MEG)数据处理


思影科技眼动数据处理服务


招聘及产品:

招聘:脑影像数据处理工程师(重庆&南京)

BIOSEMI脑电系统介绍

目镜式功能磁共振刺激系统介绍